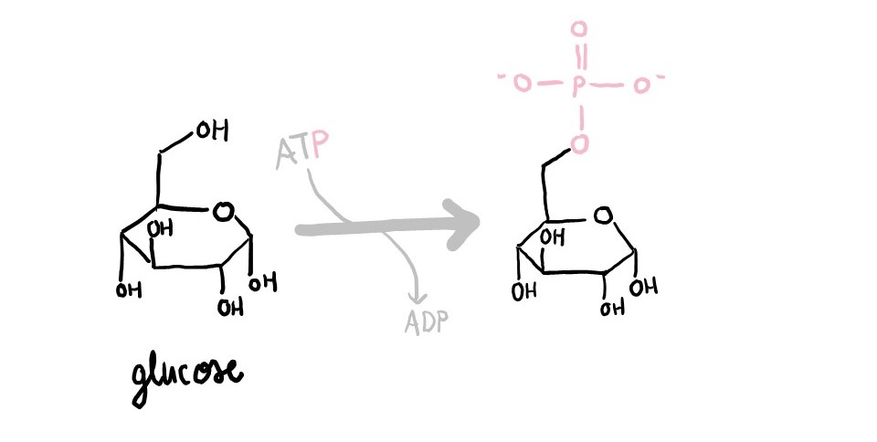
Hexokinase is an enzyme (a protein that promotes a chemical reaction). Kinase enzymes add phosphate groups to other molecules, and hexokinase adds phosphate groups to glucose molecules. This is the first reaction that begins a long process of breaking down glucose sugars into useable energy.

Hexokinase works in the cytoplasm of cells. The phosphate group that it adds to glucose is like a label that tells other enzymes to break it down and prevents it from leaving the cell.

Hexokinase is made of one chain that is divided into two functional units or “domains.” One domain is responsible for doing the chemical reaction. The specific place where the reaction happens is called the “active site.” First, ATP binds to the active site. (ATP is a source of phosphate groups.) Then glucose binds to the active site, and hexokinase changes its shape to fit around glucose better. Once both ATP and glucose are in the active site, a phosphate group from ATP is moved to glucose.

The other domain is regulatory and gives instructions to the first domain in response to outside signals.
Hexokinase has a coworker called PFK that does the next step in the glucose break-down process. When PFK is working much slower than hexokinase, glucose labeled with phosphate builds up. The labeled glucose molecules bind to the regulatory domain to tell hexokinase to stop labeling glucose and let PFK catch up. It’s a way of saying, “there are too many of us here! Slow down!”
Hexokinase is a leader for the rest of the glucose break-down process because its rate of work influences the rates of other steps. Getting this process right is of utmost importance because it is a primary way that our bodies turn our food into the energy we need! If your hexokinases did not work correctly, you would not be able to live.
Aleshin, A. E., Zeng, C., Bourenkov, G. P., Bartunik, H. D., Fromm, H. J., & Honzatko, R. B. (1998). The mechanism of regulation of hexokinase: new insights from the crystal structure of recombinant human brain hexokinase complexed with glucose and glucose-6-phosphate. Structure (London, England : 1993), 6(1), 39ā50. https://doi.org/10.1016/s0969-2126(98)00006-9

